HOME
PRODUCTS
ABOUT US
CONTACT US
 


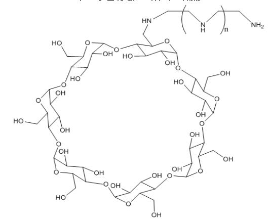
Mono-(6-((triethylenetetraamine)-6-deoxy)-β-Cyclodextrin
Mono-(6-((triethylenetetraamine)-6-deoxy)-beta-Cyclodextrin;
CAS No.: 65294-33-9;




Product Name: Mono-(6-((Triethylenetetraamine)-6-Deoxy)-Beta-Cyclodextrin
CAS#: 65294-33-9
Package: 1g/bottle, 3g/bottle, 10g/bottle
Solubility: It is soluble in water.
Storage: Store at room temperature, in a tightly closed container. Please, Avoid exposure to light.
Use: Reagent
Characteristics & Applications:
In a neutral or acid conditions, Organic amine groups can be positively charged and they have very good composite ability to guest molecules.
Triethylenetetraamine can form complex with many metal ions, such as Cu2+ Cr3+ Mg2+ and so on. This provides new approaches to achieve artificial enzymes.
Triethylenetetraamine also provide secondary amine groups and primary amine groups which can be linked to many functional groups. This makes it an important intermediate for cyclodextrin synthesis.

Specifications:

CAS #

65294-33-9

Molecular Formula

C48H86N4O34

Molecular Weight

220.14

Appearance

White Powder

 



New products recommend | Medicinal Cyclodextrin | Iodo Cyclodextrin | Amino Beta Cyclodextrin | Contract Customization | Native Cyclodextrin | Complexes/ Polymers | Other Cyclodextrin Derivative | Mercapto Cyclodextrin |
Products | News | About us | Contact us
Pocono Enterprise LLC | TEL: 1-267-373-9105 | FAX: 1-267-347-4375 | Email: info@cyclo-dextrin.com
Copyright © 2008-2026  CAVCON  All Rights Reserved
[ Powered by Shjos ]