HOME
PRODUCTS
ABOUT US
CONTACT US
 


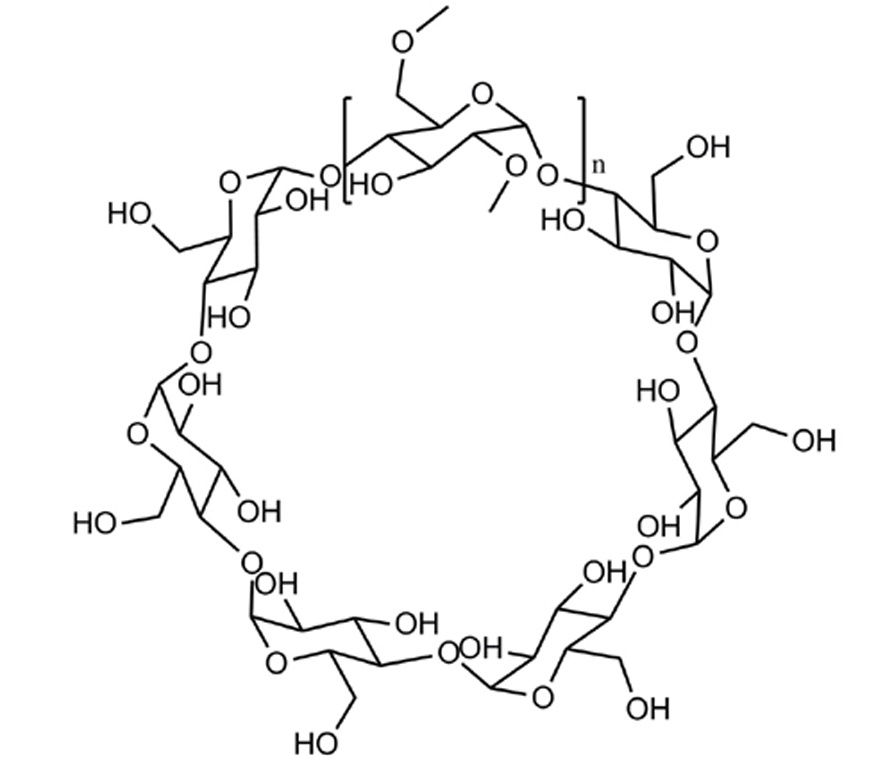
Methyl-β-cyclodextrin
Methyl-beta-cyclodextrin;
Methyl-beta-cyclodextrin;
CAS No.: 128446-36-6;





Product Name: Methylated-β-Cyclodextrin
Synonyms: Methyl-β-Cyclodextrin,
                  Methyl-beta-Cyclodextrin, 
                  Methyl Beta Cyclodextrin,
                  Methylated-Beta-Cyclodextrin.
CAS#: 128446-36-6
Abbreviation: MEBCD
Quality: Pharmaceutical Grade
Standard: Enterprise Standard


Characteristics & Application:
Methylated-β-Cyclodextrin is widely used in modern research and applications. It can be soluble both in water and in organic solvents.


In the Pharmaceutical Industry, it can increase solubility and bioavailability of drugs, adjust and control the drug release rate, reduce drug side-effects, and enhance the stability of drugs (particularly for oil-soluble molecules).


In Commodities, Chemicals and Cosmetics, Methylated-β-Cyclodextrin can reduce microbial contamination and skin irritations, keep skin moist, mask bad odors, and promote transdermal absorption of active ingredients.


Methylated-β-Cyclodextrin has a larger surface tension in common cyclodextrin derivatives.

Specification 

CAS Registration Number

128446-36-6

Molecular Formula

C42H70-nO35 · (CH3)n

Molecular Weight

1135 + n•(14.0)

Appearance

white powder, insipid, innocent

Assay

≥98

Average Degree of Substitution

11.2-13.3

Molar of substitution

1.6-1.9

Beta- cyclodextrin

0.2

PH

5.0-7.5

TAMC(cfu/g)

≤1000

TYMC(cfu/g)

≤100

Salmonella/E. Coli (cfu/g)

Absent

 



New products recommend | Medicinal Cyclodextrin | Iodo Cyclodextrin | Amino Beta Cyclodextrin | Contract Customization | Native Cyclodextrin | Complexes/ Polymers | Other Cyclodextrin Derivative | Mercapto Cyclodextrin |
Products | News | About us | Contact us
Pocono Enterprise LLC | TEL: 1-267-373-9105 | FAX: 1-267-347-4375 | Email: info@cyclo-dextrin.com
Copyright © 2008-2026  CAVCON  All Rights Reserved
[ Powered by Shjos ]